CAR-302,196
Identifiers
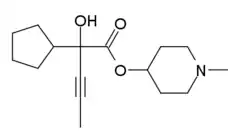
  • (1-methylpiperidin-4-yl) 2-cyclopentyl-2-hydroxypent-3-ynoate
CAS Number
PubChem CID
ChemSpider
UNII
CompTox Dashboard (EPA)
Chemical and physical data
FormulaC16H25NO3
Molar mass279.380 g·mol−1
3D model (JSmol)
  • CN1CCC(CC1)OC(=O)C(O)(C#CC)C2CCCC2
  • InChI=1S/C16H25NO3/c1-3-10-16(19,13-6-4-5-7-13)15(18)20-14-8-11-17(2)12-9-14/h13-14,19H,4-9,11-12H2,1-2H3
  • Key:GKCPDYHGDHCIJL-UHFFFAOYSA-N
  (verify)

CAR-302,196 (also known as PCMG or just by its code number 302196) is a moderately potent and relatively short lasting anticholinergic deliriant drug, related to the chemical warfare agent 3-Quinuclidinyl benzilate (QNB). It was developed under contract to Edgewood Arsenal during the 1960s as part of the US military chemical weapons program, during research to improve upon the properties of earlier agents such as QNB.

CAR-302,196 was found to be only around 1/4 the potency of QNB, but its onset of action was much faster at only a few minutes, and the duration far shorter at only 2–3 hours. A fast-acting and short-lasting anticholinergic drug was felt to be more desirable for some applications.[1][2]

See also

References

  1. Possible Long-Term Health Effects of Short-Term Exposure to Chemical Agents. Vol. 1. The National Academies Press. 1982. pp. 206–207. {{cite book}}: |work= ignored (help)
  2. Ketchum JS (2006). Chemical Warfare Secrets Almost Forgotten. A Personal Story of Medical Testing of Army Volunteers with Incapacitating Chemical Agents During the Cold War. ChemBooks Inc. ISBN 978-1-4243-0080-8.


This article is issued from Wikipedia. The text is licensed under Creative Commons - Attribution - Sharealike. Additional terms may apply for the media files.